PCL(5,000)-b-PEG(2,000)-b-PCL(5,000), Triblock Polymer
Product Number:
-
25015
Product Description
There is increased interest in biodegradable polymers for both biomedical and industrial applications. Among the leading candidates for biodegradation are caprolactone based materials due to it's approved uses by the FDA for drug delivery systems, sutures, long term implants and adhesion barriers as well as new tissue scaffold host systems.
Caprolactone itself is a biodegradable polyester with a relatively low melting point (60C) but a glass transition temperature (Tg) around -60C. The high crystallinity in the polyester accounts for this property balance. It is made by metal catalyzed ring opening polymerization of epsilon caprolactone. A typical molecular weight of standard polycaprolactone homopolymer is 188k Daltons. By comparison, a 100% polylactic acid homopolymer with Mw 330k Daltons has a (Tg) temperature of +55C and a melting temperature, Tm of about 175C.
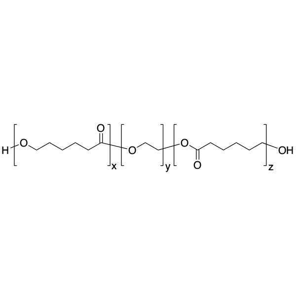
Further modifications of polycaprolactone are possible by converting it into diblock (A-B) or triblock (A-B-A) copolymers with polyethylene glycol. Synthetic methods which lead to block structures allow the polymer to have controlled biodegradation rates as well as improved physiological compatibility characteristics. Low molecular weight PEG blocks or caprolactone blocks are tolerated in the human body and are excretable. Such amphiphilic block copolymers are also convertible into polymersomes or vesicles which may contain active compounds (API) which are released during degradation.
ln addition to our full line of Polycaprolactone Diblock and Triblock Polymers, Polysciences, Inc. offers custom synthesis services for other compositions and block molecular weights. The numbers listed under the product indicate the approximate molecular weight of the block segments. The PEG terminal groups are blocked as methyl ethers but the caprolactone end groups are hydroxyl and are suitable for functionalization.
Additional custom synthesis materials are available upon request. Please contact us for a quotation for your custom synthesis needs.
Numbers in parentheses refer to Mw of the segment.
Synonyms: Poly(ε-caprolactone)-block-poly(ethylene glycol)-block-poly(ε-caprolactone)

