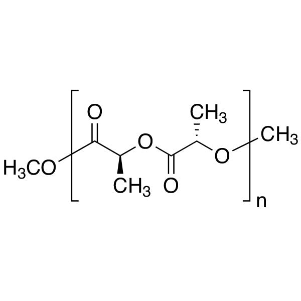
Poly(L-lactic acid), IV 0.15 dL/g
Product Number:
-
18580
Product Description
Poly(L-lactic acid) (PLLA) is a biodegradable thermoplastic polymer derived from renewable sources. With an inherent viscosity (IV) of 0.15 dL/g, it provides excellent mechanical strength, thermal stability, and processability. PLLA is widely used in biomedical, packaging, and textile applications where biodegradability and biocompatibility are essential.
Applications:
Biomedical & Medical Devices: Used in resorbable sutures, implants, and tissue engineering scaffolds due to its biocompatibility.
3D Printing & Additive Manufacturing: Provides structural integrity and biodegradability in precision-printed parts.
Sustainable Packaging: Serves as a renewable alternative in biodegradable plastics and compostable films.
Textiles & Fibers: Used in the production of biodegradable nonwoven fabrics and performance textiles.
Composite Materials: Enhances mechanical properties in fiber-reinforced biocomposites for various industries.

