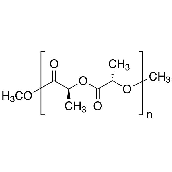
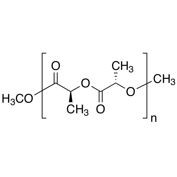
Poly(L-lactic acid), IV 1.8 dL/g
Product Number:
-
18402
Product Description
Poly(L-lactide) (PLLA) is a biodegradable polymer for medical device and pharmaceutical applications. It is used to fabricate resorbable medical devices that degrade over months in physiological conditions. Due to their history, polylactides are one of the easiest and most affordable biodegradable polymers for medical devices.
Synonyms: L-PLA, poly(L-lactic acid), poly(L-lactide)
Example Applications
1. Tamai, H. et al. A Biodegradable Poly-l-lactic Acid Coronary Stent in the Porcine Coronary Artery. Journal of Interventional Cardiology 12, 443€“450 (1999). doi:10.1111/j.1540-8183.1999.tb00673.x
2. Tamai, H. et al. Initial and 6-Month Results of Biodegradable Poly-l-Lactic Acid Coronary Stents in Humans. Circulation 102 , 399€“404 (2000). doi:10.1161/01.CIR.102.4.399
3. Boschetti, F., Tomei, A. A., Turri, S., Swartz, M. A. & Levi, M. Design, fabrication, and characterization of a composite scaffold for bone tissue engineering. The International journal of artificial organs 31, 697€“707 (2008).
Specifications
Inherent Viscosity (ηinh): 1.50 - 2.00 dL/g (25°C; CHCl3, 0.1 g/dL)
Properties
Soluble in: chloroform, dichloromethane (DCM)
{{block type="cms/block" block_id="product-css-temp" template="cms/content.phtml"}}

